El mecanismo de acción de Rezvilutamide ha devenido en un punto clave para superar las limitaciones de los fármacos existentes en el tratamiento del cáncer de próstata, una enfermedad que afecta a millones de hombres en todo el mundo y sigue presentando retos en la gestión de sus formas más agresivas.
Los medicamentos tradicionales utilizados en el cáncer de próstata, incluyendo algunos inhibidores del receptor de andrógenos (AR), a menudo tienen problemas como toxicidad no deseada o una eficacia limitada en casos avanzados, lo que hace urgente la aparición de alternativas innovadoras.
Jiangsu HengRui ha lanzado Rezvilutamide (nombre comercial: Airuien), diseñada para abordar las deficiencias de las terapias tradicionales. Inhibe competitivamente la unión de los andrógenos a sus receptores, bloqueando así las vías de señalización que promueven el crecimiento de las células del cáncer de próstata y mejorando los resultados de los pacientes.

A continuación, DengyuePharma lo guiará a través de una comprensión en profundidad del mecanismo de acción de Rezvilutamide y por qué puede reducir el riesgo de progresión de la enfermedad en un 54%.
Comprensión de la rezvilutamide: Un bloqueador preciso de las señales de crecimiento del cáncer de próstata
Rezvilutamide es un fármaco innovador desarrollado específicamente para el tratamiento del cáncer de próstata, con un enfoque particular en casos más complejos.

Pertenece a la categoría de inhibidores del receptor de andrógenos (AR), una clase de medicamentos que actúa sobre el eje androgénico, clave en el crecimiento y progresión del cáncer de próstata.
A diferencia de los inhibidores AR tradicionales, Rezvilutamide ha sido diseñado con una estructura molecular optimizada que mejora su afinidad por el receptor y reduce efectos secundarios no deseados, lo que lo convierte en una opción prometedora para pacientes con necesidades no cubiertas hasta ahora.
Su perfil farmacológico lo distingue como un agente terapéutico único en el panorama actual del tratamiento oncológico.
Mecanismo de acción de Rezvilutamide: Bloquea los andrógenos e inhibe el crecimiento del cáncer de próstata
El mecanismo de acción de Rezvilutamide se basa en su capacidad para actuar como un inhibidor competitivo del receptor de andrógenos (AR), bloqueando de manera selectiva la unión de los andrógenos (como la testosterona) a este receptor, que es fundamental para la proliferación de las células cancerosas prostáticas.
1. Inhibición Competitiva de la Unión de Andrógenos al AR
Airuien, gracias a su ingrediente activo en su estructura molecular, se une competitivamente al dominio de unión al ligando (LBD) del AR, impidiendo que andrógenos endógenos como la testosterona (T) y la dihidrotestosterona (DHT) se unan al receptor. Esta unión competitiva es un primer paso crucial para inhibir la señalización androgénica, bloqueando directamente la vía por la cual los andrógenos activan el receptor.
2. Bloqueo de la Translocación Nuclear del AR y la Unión al DNA
Una vez que los andrógenos se unen al AR, el complejo receptor se transloca del citoplasma al núcleo y se une al elemento de respuesta a los andrógenos (ARE) en el DNA, iniciando la transcripción de oncogenes. Airuien inhibe la translocación nuclear del AR, impidiendo que el receptor se una al DNA e inhibiendo así la transcripción génica mediada por el AR, incluyendo aquellos genes que promueven la proliferación y supervivencia de las células del cáncer de próstata.
3. Inhibición de la transcripción génica mediada por AR
La activación del AR impulsa la expresión de diversos genes implicados en la regulación del ciclo celular, los mecanismos antiapoptósicos y la angiogénesis, todos ellos factores clave en la progresión del cáncer de próstata. Airuien reduce significativamente la expresión de estos oncogenes al bloquear la actividad transcripcional del AR, inhibiendo así el crecimiento y la propagación de las células tumorales.

Este mecanismo de acción específico y bien regulado permite que Rezvilutamide ejerza su efecto terapéutico de manera eficaz mientras protege los tejidos sanos, lo que explica su superioridad en comparación con los tratamientos anteriores.
Rezvilutamide es líder en seguridad: Un doble avance en baja neurotoxicidad y control del dolor
Rezvilutamide 80mg logra un doble avance en seguridad, convirtiéndose en una nueva opción de tratamiento para el cáncer de próstata metastásico sensible a hormonas (mHSPC) gracias a su baja neurotoxicidad y excelente control del dolor.
1️⃣Reducción de la permeabilidad de la barrera hematoencefálica y mejora de la neurotoxicidad:
En comparación con el fármaco tradicional bicalutamide, Rezvilutamide, gracias a su diseño molecular único, reduce significativamente la permeabilidad de la barrera hematoencefálica, reduciendo eficazmente el riesgo de reacciones adversas neurológicas como la epilepsia, ofreciendo una opción de tratamiento más segura para pacientes que requieren tratamiento a largo plazo.
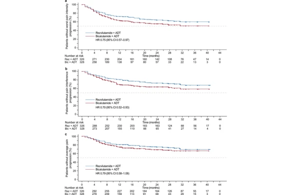
2️⃣Rendimiento excepcional en el manejo del dolor:
El estudio CHART de fase III confirmó que Airuien, en combinación con la terapia de deprivación androgénica (ADT), prolonga significativamente el tiempo hasta la aparición del dolor más intenso y retrasa la progresión de las alteraciones relacionadas con el dolor en la vida diaria, especialmente en pacientes con dolor inicial moderado a intenso, mejorando significativamente su calidad de vida.
Esta doble ventaja no solo reduce el riesgo de interrupción del tratamiento, sino que también reduce la carga médica adicional para los pacientes debido a los efectos secundarios, lo que convierte a Rezvilutamide en un inhibidor de AR de próxima generación que equilibra eficacia y seguridad, brindando una mejor experiencia de tratamiento a los pacientes con mHSPC.
Evidencia clínica de Rezvilutamide: Estudio de fase III CHART confirmó un gran avance con una reducción del 54% en el riesgo de progresión de la enfermedad
La eficacia y seguridad de Rezvilutamide han sido demostradas en múltiples estudios clínicos, incluyendo el ensayo fase III CHART (NCT 03520478), un estudio aleatorizado que comparó a Rezvilutamide más TDA versus bicalutamide más TDA en pacientes con tratamiento del cáncer de próstata mHSPC con alta carga tumoral.
✨Los resultados de este ensayo mostraron que el grupo tratado con Airuien tuvo una supervivencia libre de progresión radiográfica y una supervivencia global significativamente mayores que el grupo control, con una reducción del 54% en el riesgo de progresión de la enfermedad.
Además, un estudio multicéntrico de mundo real realizado en China con 236 pacientes demostró que los porcentajes de respuesta PSA50, PSA90 y PSA ≤ 0.2 ng/ml a los 3 meses fueron del 99.15%, 88.98% y 39.41% respectivamente, con un perfil de seguridad favorable y sin señales de seguridad severas nuevas.

Estas evidencias clínicas sólidas respaldan el uso de Rezvilutamide como tratamiento de primera línea para pacientes con mHSPC de alta carga tumoral, confirmando su eficacia y seguridad en entornos clínicos reales.
Potencial del mercado de rezvilutamide: oportunidades de crecimiento internacional impulsadas por los datos de la fase III
El mercado global de fármacos para el cáncer de próstata está en constante crecimiento, impulsado por el aumento de la incidencia de la enfermedad y la demanda de tratamientos más efectivos y seguros, y Rezvilutamide está posicionándose como un actor clave en este escenario.
A nivel global, el valor del mercado de Rezvilutamide se espera que crezca a una tasa anual compuesta significativa en los próximos años, con una penetración cada vez mayor en mercados estratégicos como América Latina y España.
En España, un mercado que representa el tercero de mayor tamaño para muchas empresas internacionales y acoge a más de 600 empresas latinoamericanas, Rezvilutamide tiene un potencial enorme, ya que la incidencia del cáncer de próstata sigue aumentando y los pacientes buscan alternativas innovadoras.
En América Latina, países como México y Colombia están mostrando un interés creciente en fármacos oncológicos innovadores, lo que abre nuevas oportunidades para la expansión de Rezvilutamide.
Este crecimiento del mercado no solo refleja la eficacia del fármaco, sino también la confianza de la comunidad médica en su potencial para mejorar la calidad de vida de los pacientes.
Resumen y perspectivas
Rezvilutamide Tabletas, un innovador inhibidor de AR desarrollado independientemente en China, ha demostrado una eficacia significativa en el tratamiento del cáncer de próstata a través del estudio CHART de Fase III, demostrando su capacidad para prolongar significativamente la supervivencia y las tasas de supervivencia muestran una tendencia a la mejora. en pacientes con cáncer de próstata metastásico. Su doble ventaja en eficacia y seguridad está transformando el panorama del tratamiento del cáncer de próstata.
En el futuro, este fármaco mejorará la accesibilidad global al acelerar el acceso al mercado en mercados emergentes como Latinoamérica y España, junto con una estrategia de precios diferenciados y la vinculación con seguros médicos.
Al mismo tiempo, explorará terapias combinadas y aplicaciones de medicina de precisión, ampliando aún más las indicaciones y optimizando la atención al paciente. En última instancia, esto impulsará los fármacos innovadores chinos desde avances nacionales hasta el liderazgo mundial, ofreciendo mejores opciones de tratamiento para los pacientes con cáncer de próstata.
Como proveedor líder de fármacos innovadores en China DengyuePharma, garantiza un suministro global de medicamentos de alta calidad a través de su extensa red comercial internacional, satisfaciendo las necesidades de atención médica de diferentes regiones.

FAQ About mecanismo de acción de Rezvilutamide
Sí, un análisis post-hoc del estudio CHART confirmó que Rezvilutamide no es inferior en eficacia y seguridad en comparación con pacientes más jóvenes ≥75 años con CPHSm.
Hengrui Medicine ha iniciado un estudio con Rezvilutamide como terapia adyuvante en cáncer de próstata resistente a la castración no metastásico de alto riesgo (CPRCnm) y en pacientes de alto riesgo tras una prostatectomía radical. Los datos preliminares muestran que puede retrasar significativamente la recurrencia del PSA. Si el ensayo de fase III tiene éxito, se espera que se convierta en el primer inhibidor de AR de fabricación China que cubra toda la evolución de la enfermedad, desde el CPRCnm hasta el CPRCnm.
Presentado en la Reunión Anual de la Sociedad Estadounidense de Oncología Clínica (ASCO) de 2022 y en el Congreso de la Sociedad Europea de Oncología Médica (ESMO) de 2023, y recibió una recomendación de Grado I en las Pautas de la CSCO para el Diagnóstico y Tratamiento del Cáncer de Próstata.
La dosis recomendada es de 240 mg (3 comprimidos) una vez al día, por vía oral, y debe tragarse entero.
